Method for determination of metal content in Grease and oil products (ICP-AES)
Basis of the scheme
According to SH/T 0749-2004 lubricating oil and additives content determination method of added elements(Inductively coupled plasma emission spectrometry),determination of metal element content in lubricating oil:one is to select the center tube of 1.2mm diameter to ensure the stability of plasma; The second is to introduce oxygen to prevent organic matter from forming carbon deposition in the central pipe and blocking the pipe.
The experimental parameters are as follows:The sample flow1.0 mL/ min,Plasma argon flow rate15 mL/ min,Auxiliary gas flow rate0.8 ml/ min,Flow rate of atomizer0.55 mL/ min,The oxygen flow rate30 mL/ min,power1500 W,Axial observation mode,Observation distance15.0 um,Repeated measurement2次
Methods the profile
The samples were pretreated with hydrogen peroxide and nitric acid to form acidic aqueous solution, and the element content in the sample solution was determined by inductively coupled plasma emission spectrometer (ICP-AES)
Meaning and Use
Calcium, zinc, magnesium, sulfur, phosphorus, barium, boron, lithium, cobalt and other elements are common elements in lubricating oil and lubricating oil additives, and their content is an important parameter indicating the properties of lubricating oil. In this method, the loss of volatile elements during dry ashing is solved by the pressure bullet method. The sample processing process is simple, and a variety of elements can be reliably determined at the same time.
Instruments and reagents
Macylab ICP-6800S inductively coupled plasma emission spectrometer
For the determination of sulfur and phosphorus, spectral lines below 190nm are needed
The instrument is required to have the function of light path vacuum pumping or qi driving
Pressure dissolved: capacity is 50mL, the outer shell is made of ICr18Ni9T stainless steel, the inner cup is made of teflon, the recommended temperature is less than 180℃. The maximum bearing pressure is 5MPa.
pipette:1mL,5mL,10mL
Reagent Purity: Analytical pure reagents should be used unless otherwise stated. If other grades of reagents are used, it is necessary that their purity does not reduce the accuracy of the determination.
Nitric acid: excellent grade pure
Hydrochloric acid: excellent grade pure
Hydrogen peroxide (30%)
Water: meet the requirements of GB/T 6682 level 3 water.
Standard storage solution: Prepare or purchase 1000mg/L single element standard storage solution of calcium, zinc, magnesium, sulfur, phosphorus, barium, boron, lithium and cobalt according to the preparation method of reference material.
Prepare mixed standard solution (100mg/L): take 5mL of calcium, zinc, magnesium, phosphorus, barium, boron, lithium, and drill standard reserve solution in a 50mL volumetric flask and dilute with water to the scale.
Prepare mixed standard working curve solutions (0mg/L, 5mg/L, 10mg/L and 20mg/L): Remove 0mL, 2.5mL, 5mL and 10ml mixed standard solutions into four 50mL volumetric flasks, add 5mL nitric acid to each, and dilute with water to the scale.
Prepare sulfur standard working curve solutions (20mg/L, 50mg/L and 200mg/L): Remove 1mL, 2.5mL and 10mL sulfur standard storage solutions into three 50mL volumetric flasks, add 5mL nitric acid to each, and dilute with water to the scale.
Note: The concentration of the above standard working curve solution is only for the reference of the user, the user can make appropriate adjustments according to the actual situation of the instrument and the sample.
Sample pretreatment method
Inorganic pretreatment method
More used and more reliable method. Disadvantages: Sample processing is time-consuming, easy to cause contamination and loss of the sample, greatly affected by artificial influence. Can be divided into:
For the ashing method, it is referred to as taking the sample (adding ashing aid, defoaming agent, etc.) in the crucible, placed on an electric furnace, slowly heated at a lower temperature for coking and carbonization, and finally burned at a high temperature (525±25 ° C) until the remaining inorganic matter. See GB/T5082 for operation.
Wet digestion method, in the process of ashing using sulfuric acid, nitric acid, perchloric acid, hydrogen peroxide and other reagents. Due to the relatively low temperature and the reaction in the liquid phase, the volatilization loss and adsorption loss are small.
Extraction method, the use of inorganic acid solution as extraction agent, the oil samples of metal element detection extraction separation. This method is simple, rapid and ideal for the separation of trace metals from a large number of oil samples. By adding oxidant and nitric acid, the elements were separated and enriched into aqueous solution for ICP determination
For high pressure bullet dissolving method, a small amount of sample is weighed in a special Teflon bottle, and then an appropriate amount of acid is added to dissolve the sample under high pressure.
Microwave digestion method, weighing a small amount of samples in cyanin, put into the microwave ashing furnace, according to the step temperature control program to heat up, first remove water and easy components, and then increase the temperature of the sample love, and finally ash into inorganic substances.
Organic samples were determined directly
The oil sample is directly injected into the sample or mixed with organic solvent (to reduce the matrix effect caused by the viscosity difference between the sample and the standard solution) for analysis and determination. Should choose to have good combustion, can produce stable flame, viscosity and surface tension is small, high boiling point characteristics of organic solvents mixed dilution. Commonly used solvents such as toluene, xylene and aviation coal.
Comparison of sample pretreatment methods
We have done a comparison between dry ashing method and microwave digestion method, the ash content of the oil meets the requirements of reproducibility. Because of the former rake long time, interference due to pro-much, gradually replaced by microwave method, greatly saving time.
Wet digestion method, due to the large test dose and sample volume used for digestion, limited sampling amount, long operation time, therefore, less application.
Extraction method, because the metal in the oil sample is often associated with organic matter, it is not easy to completely separate and remove it from the organic parent, so the method is not as widely used as the ashing method.
The direct injection method of organic samples eliminates the inorganic pretreatment process and greatly saves time. However, when using dilution method, the choice of solvent is limited, which needs to be demonstrated by a large number of experiments (selection of organic solvent, dilution of sample, interference effect, various parameters of the instrument, etc.). At present, direct injection of lubricating oil is reported, and the products such as gasoline and fuel oil are still in the exploratory stage. For example, Shi Wenzhong et al. published ICP-AES organic injection sample determination of trace elements in lubricating oil; Chen Yingjue et al. published the ICP/AES organic solvent dilution method for the determination of additives, wear and pollutants in used lubricating oils.
Test steps
In this experiment, the sample is pretreated by pressure dissolution method: accurately weigh 0.1 ~0.5g sample (accurate to 0.1mg) in the Teflon cup, add 3mL of human nitric acid and 3mL of 30% hydrogen peroxide, put the teflon cup into the pressure dissolution shell, tighten the bolt, put it into the oven at 150℃±5℃, constant temperature for 5 ~ 6h, cut off the power supply, Allow the pressure dissolve to cool naturally to room temperature in the oven. Take out the pressure bomb from the oven, put the treated sample agent into the 25mL volumetric bottle, wash the teflon cup with water at least 3 times, pour the washing liquid into the volumetric bottle, dilute to the scale with water.
Warning: The temperature and internal pressure are high before the pressure dissolve is cooled to room temperature. Do not remove the bolt from the oven or unscrew it, otherwise it may cause scald or acid burn.
Determination of elements and wavelength table

Blank and standard working curve solution were inhaled successively to establish standard working curve. Inhale the solution of the sample to be tested and obtain the determination result.
calculate
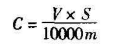
The content C%(mass fraction) of each element in the sample was calculated according to Equation (1), accurate to 0.01 %
in the Type
C-The content of each element in the sample,%(mass fraction); V Dilution volume,mL
s—Element concentrations in sample solutions, mgL, as read from standard operating curves;
m—Weigh the sample mass,g.
Instrument parameters
Macylab ICP-6800S Inductively coupled Plasma Emission Spectrometer (Petrochemical machine)
Product introduction
ICP - 6800S petrochemical inductively coupled plasma emission spectrometer is my company a standard market and launch a major instruments used in petrochemical industry, can be used in the determination of crude oil in more than 30 elements, mainly Fe. Na, Mg. Ni. V.C Amy polumbo b.M o.M n.C r.C a. a.A s; It can be used to measure iron in gasoline. Manganese, lead, silicon; be used for the determination of additives and wear elements in lubricating oil; be used for the determination of multiple elements in base oil;be used for the determination of sodium in formaldehyde. Determination of tracer in oil field.
Application Environment
Shipping/Storage Ambient Temperature 15℃-25℃
Shipping/Storage Relative Humidity ≤70%
Atmospheric pressure 86-106 kPa
Power Supply 220±10V 50-60MHz
Working Humidity ≤70%
Working Temperature 15℃-30℃
Technical Parameter
RFPower technical parameter:
Circuit type: solid-state RF power supply, with function of automatch
Frequency: 27.12MHz±0.05%
Frequency Stability: <0.1%
Power Output: 800W—1500W
Power Output Stability: <0.3%
Escaped RF radiation: 30cm away from the instrument, electric field: E﹤2V/m
Sampling System Technical Parameter:
Output working coil inner diameter :25mm
Torque tube: Three concentric, external diameter 20mm
Coaxial nebulizer:Outer diameter 6mm
Double barrel atomizing chamber: Outer diameter 34mm
Gas Flow Controls
1. Plasma Argon Flowmeter:(100-1000)L/h (1.6-16L/min)
2. Auxiliary Argon Flowmeter:(10-100)L/h (0.16-1.66L/min)
3. Carrier Argon Flowmeter(10-100)L/h (0.16-1.66L/min)
4.Oxygen Flowmeter:(0-100)ml/min (30-50ml/min)
5.Pressure Maintaining Valve(0-0.4MPa)
6.Cooling Water:Temperature: 20-25℃, Rate of Flow>5L/min, Hydraulic Pressure>0.1MPa
Spectrometer
Optics:Czerny-Turner type
Focal length: 1000 mm
Grating: Ion Beam Etching Holographic Grating, 4320L/mm
Reciprocal linear dispersion: 0.26nm/mm
Resolution:≤ 0.005nm (4320 line grating)
Wavelength range: 4320 line grating:(180nm~435) nm
Minimum pace of stepping motor: ≤0.0006 nm
Exit Slit:10μm;Entrance Slit:8μm
Photoelectric Converter Performance
Photomultiplier tube specification: R293
Negative HV on PMT: 0-1000V;Stability: <0.05%
Refrigeration System
Refrigerating Swirling Fog Chamber:The use of imported silica gel collection technology can make the temperature drop to 20 degrees below zero
Overall Performance
Wavelength range of scanning: 185nm~435nm(4320L/mm line grating)
Repeatability: RSD(Relative Standard Deviation)≤1.5%
Stability: RSD(Relative Standard Deviation) ≤2%
About Us
Introduction of Shanghai Macylab Instrument Co., LTD
Shanghai Macylab Instrument Co., LTD is a high-tech enterprise with independent intellectual property rights. Macylab’s entrepreneurial philosophy is "science and technology -- change because of you", and it takes this as the purpose of the enterprise to constantly explore and innovate boldly. Especially in the field of analytical and testing instruments, we have continuously developed advanced products, making us a supplier of high-quality instrument resources.
Macylab mainly engage in spectral instruments visible spectrophotometer, ultraviolet visible spectrophotometer, atomic absorption spectrometer, ultra-micro spectrophotometer, atomic fluorescence photometer, ICP inductively coupled plasma emission spectrometer, ICP inductively coupled plasma mass spectrometer, at present, Our products have been widely used in organic chemistry, inorganic chemistry, biochemistry, medicine, environmental protection, metallurgy, petroleum, agriculture and other fields. At the same time, with the rich experience accumulated in mechanical structure, optical design, electrical application and software development, combined with the latest actual demand of the market, we will launch a batch of new analytical instruments in the near future.
Macylab headquarters and production base are located in Shanghai, our marketing center is located in Beijing, and we have R & D bases in Jiangsu, Shanghai and Shandong. In order to make full use of the intellectual resources around the country, Macylab has also carried out in-depth scientific research cooperation with some domestic and foreign scientific research institutions, and constantly transformed the scientific research results into productivity. In order to better serve our customers, we have 12 offices in China to customize the application solutions that meet your needs and improve the added value of products. While continuing to serve domestic users, Macylab has also established in-depth strategic cooperative relations with distribution agencies in more than 20 countries.
(Macylab instrument is not only a high-tech certification enterprise, but also through CE certification, FCC certification, RoHS certification and a number of domestic qualification examination and certification, and has a number of self-developed spectral patent copyright, etc.)

